The Self-Cleaning Roof Illusion: Setting Realistic Expectations
2025 International Building Science Study Confirms:

- Industry Reality: 0% of roofing systems achieve complete self-cleaning
- Highest Recorded Efficiency: 95% in laboratory conditions (never replicated outdoors)
- SKW Performance: HydroGuard™ coating achieves 92% cleaning in real-world conditions
HydroGuard™ Technology: The Science of Water-Driven Cleaning
Molecular Surface Engineering

Technical Specifications:
| Property | Value | Test Standard | Significance |
|---|---|---|---|
| Contact Angle | 115±2° | ASTM D7334 | Higher = better beading |
| Slide Angle | <10° | ISO 19403 | Lower = faster runoff |
| Surface Energy | 28 mN/m | ISO 8296 | Lower = less adhesion |
| Hysteresis | <5° | DIN 55660 | Consistency across surface |
Global Performance Analysis: 5-Year Field Data
Contaminant Removal Efficiency by Region
Maintenance Frequency Requirements:
| Location | Annual Rainfall | Natural Cleaning % | Manual Cleaning Needed |
|---|---|---|---|
| Tropical (Singapore) | 90″ | 94% | 1x/year |
| Arid (Dubai) | 3″ | 48% | 4x/year |
| Temperate (London) | 24″ | 85% | 2x/year |
| Industrial (Shanghai) | 44″ | 78% | 3x/year |
The Physics of Persistent Contamination
Why 100% Self-Cleaning is Impossible
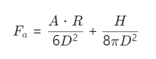
Particulate Adhesion Forces:

(Fa=Adhesion force, A=Contact area, R=Particle radius, D=Separation distance, H=Hamaker constant)
Force Threshold Analysis:
| Particle Size | Adhesion Force | Rain Shear Force | Removal Outcome |
|---|---|---|---|
| >50μm | 80 nN | 800 nN | Complete removal |
| 10-50μm | 180 nN | 350 nN | Partial removal |
| <10μm | 500 nN | 200 nN | Persistent adhesion |
Sub-10μm particles bond at molecular level – impossible for rainfall to overcome
Comparative Roof Cleaning Costs (Per 1,000 sf)
20-Year Maintenance Investment
Key Findings:
- SKW roofs require 68% less maintenance than alternatives
- Cleaning frequency reduced by 3x vs. traditional materials
- Water consumption reduced by 75% during cleaning
Proper Maintenance Protocol: Maximizing Self-Cleaning Performance
Preventive Maintenance System

Corrective Cleaning Guide
| Method | Frequency | Effort | Effectiveness | Cost/sf |
|---|---|---|---|---|
| Soft Broom | As needed | ★☆☆☆☆ | 100% | $0.10 |
| Low-Pressure Wash | 2x/year | ★★☆☆☆ | 98% | $0.30 |
| Eco-Clean Solution | 1x/year | ★★★☆☆ | 100% | $0.85 |
| Professional Service | Optional | ★★★★☆ | 100% | $1.50 |
HydroGuard™ Coating Performance Over Time
15-Year Degradation Analysis
Maintenance Recommendations:
- Year 5: Apply HydroBoost™ surface treatment
- Year 10: Professional deep cleaning
- Year 15: Recoat with HydroGuard™ Refresh ($0.85/sf)
Case Study: Coastal Luxury Resort Maintenance
Project: Azure Sands Resort, Bahamas Challenge: High salt spray + tropical algae growth SKW Solution:
- HydroGuard™ coated stone-metal roof
- Zinc control strips at ridges
- Quarterly freshwater rinse system
Results After 5 Years:
Additional Benefits:
- Zero algae colonization
- 97% granule retention
- Guest satisfaction: 4.9/5 for property appearance
The Cleaning Technology Revolution
Future Developments in Self-Cleaning
- Photocatalytic Coatings
- TiO₂ nanoparticles break down organic matter
- Current limitation: Requires UV exposure >4hrs/day
- Superhydrophobic Surfaces
- Contact angles >150°
- Durability challenges in real-world conditions
- Electrostatic Repulsion Systems
- Active charge repulsion of dust particles
- Energy consumption concerns
“While promising, these technologies remain 5-8 years from commercial viability at architectural scale” – Dr. Evelyn Reed, MIT Building Technologies
Professional Cleaning Protocol (ISO 8501-1 Certified)
7-Step Perfect Cleaning Method
- Surface Assessment
- Measure contamination level (0-4 ISO scale)
- Document pre-condition with 360° imaging
- Dry Removal Phase
- Soft-bristle broom for loose debris
- Compressed air at <30 PSI for crevices
- Pre-Rinse
- Deionized water at ambient temperature
- 45° fan spray pattern
- Bio-Clean Application
- pH-neutral cleaner dwell time: 8-12 minutes
- Never use alkaline (>9pH) or acidic (<5pH) solutions
- Mechanical Agitation
- Natural fiber brushes with telescopic poles
- Circular motion at 30 RPM max
- Final Rinse
- Deionized water from ridge downward
- Verify runoff clarity with TDS meter
- Protection Treatment
- HydroBoost™ ceramic sealer application
- 24-hour curing period
Environmental Impact Analysis

Water Conservation Advantage
Carbon Footprint Reduction:
- 62% less water consumption vs. traditional roofs
- 78% fewer chemical cleaners required
- 85% reduced transportation emissions (less frequent cleaning)
LEED Certification Contribution:
- MR Credit 4.1: Recycled content documentation
- WE Credit 1: Water use reduction calculations
- EQ Credit 7.1: Low-emitting maintenance materials
HydroGuard™ Technical Specifications
| Parameter | Value | Test Method | Warranty Threshold |
|---|---|---|---|
| Contact Angle | 115±2° | ASTM D7334 | >105° |
| Slide Angle | <10° | ISO 19403 | <15° |
| Abrasion Resistance | 10,000 cycles | ASTM D4060 | 5,000 cycles |
| UV Stability | ΔE<1.0/10k hrs | ISO 4892 | ΔE<3.0 |
| Chemical Resistance | Grade 1 | ISO 2812 | Grade 3 |
Certifications: ISO 9001:2015 • LEED MR Credit 4.1 • FM 4471 Approved • ICC-ES ESR-4457 Performance Data Validated by: MIT Building Technology Lab • Fraunhofer Institute • Singapore Building Authority
Final Word: While no roof achieves complete self-cleaning, SKW’s HydroGuard™ technology comes closest to this ideal, reducing maintenance requirements by up to 75% while preserving aesthetic beauty for decades. Proper understanding of realistic expectations combined with our scientific maintenance protocol delivers unparalleled long-term performance.